Florence Roma Florence
Randonneè Mondiale 1.200 km con 13.000 mt+Informazioni generali:
- LE PRE-ISCRIZIONI A 25,00 EURO DAL 01 DICEMBRE FINO AL 31 MARZO 2026 SOLO SUL SITO AUDAX RANDONNEE ITALIA
- LA QUOTA DI ISCRIZIONE COMPLESSIVA È DI 250,00 EURO
- SALDO ISCRIZIONE DAL 01 APRILE AL 31 MAGGIO
- ISCRIZIONI DAL 01 GIUGNO AL 31 LUGLIO EURO 300,00
- POSSIBILITA’ DI CANCELLAZIONE ISCRIZIONE FINO AL 15 LUGLIO CON RIMBORSO FORFETTARIO DI 100,00 EURO
- ISCRIZIONE GRATUITA PER I PARA-ATLETI E NON VEDENTI
- ISCRIZIONE CON SCONTO DEL 50 % PER I MEZZI SPECIALI
- MASSIMO ISCRIZIONI N 550 PARTECIPANTI
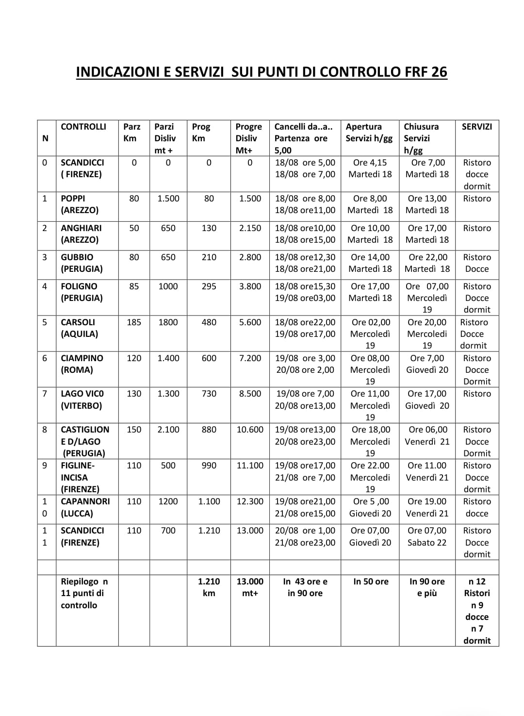
- NELL’ ISCRIZIONE SONO COMPRESI : PACCO GADGETS ; TRACCIAMENTO TRECKER ; 11 RISTORI + PASTA PARTY FINALE ; 7 DORMITORI E DOCCE ; MEDAGLIA DI FINISCHER
- N 3 BAG-DROP A 15,00 EURO ( Foligno 300 Km ; Ciampino 600 Km ; Castiglione d/Lago 900 Km )
- MAGLIA CICLISMO FRF 26 A EURO 30,00 SU PRENOTAZIONE
- POSSIBILITA’ DI SCELTA ORARIO DI PARTENZA (dalle 5,00 alle 7,00)
Partenza 18 Agosto 2026 ore 05:00 / 07:00
presso Castello dell'Acciaiolo Scandicci
La vita è come una bicicletta, sta su perchè va!IscrivitiIl percorso si snoda tutto nel Centro Italia, tra le Regioni Toscana, Umbria, Abruzzo e Lazio, nella culla della primordiale civiltà italica. I paesaggi, le strade nascoste, i tanti borghi antichi, i maggiori fiumi Arno e Tevere, le strade e i Paesi di San Francesco, gli azzurri laghi, la storia da Roma Antica al Medioevo e oltre, l’arte, le cento chiese e cento campanili, il Vaticano, i profumi i sapori di una terra unica al Mondo. Uno skyline continuo di dolci colline e monti dove quasi sempre troneggia il piccolo o grande borgo e cittadina, dove l’occhio si perde ovunque nella bellezza della natura italiana.

